Bouveault-aldehydesynthese
De Bouveault-aldehydesynthese is een scheikundige reactie, waarmee uit een primair halogeenalkaan een aldehyde wordt bekomen met één koolstofatoom meer. De reactie is genoemd naar de Franse scheikundige Louis Bouveault, die ze in 1903 ontdekte en in 1904 publiceerde.[1][2]
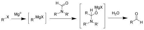
Reactieverloop
De eerste stap in de reactie is de vorming van een Grignard-reagens met magnesium. Wanneer daaraan een N,N-digesubstitueerd formamide, zoals dimethylformamide, wordt toegevoegd vormt zich een hemiaminal als tussenproduct, dat gemakkelijk wordt gehydrolyseerd tot het overeenkomstig aldehyde.

Het geheel kan als een one-pot-synthese uitgevoerd worden, zonder dat het nodig is om de tussenproducten te isoleren of op te zuiveren.
Zie ook
- Bodroux-Tsjitsjibabin-aldehydesynthese, die ook een Grignard-reagens gebruikt.
Bronnen, noten en/of referenties