Biginelli-reactie
De Biginelli-reactie, genoemd naar de Italiaanse scheikunde Pietro Biginelli,[1][2] is een organische reactie tussen drie componenten: een aldehyde, een β-ketoester en ureum. In de reactie wordt een pyrimidinederivaat gevormd, namelijk een 6-methyl-3,4-dihydropyrimidin-2-on. Voor de reactie kan een zure katalysator gebruikt worden. De β-ketoester is meestal methylacetoacetaat of ethylacetoacetaat.
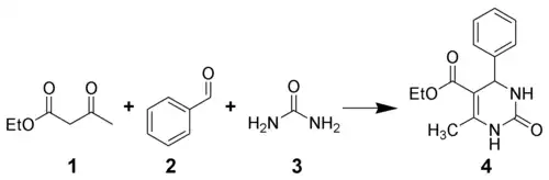
Een typische Biginelli-reactie is deze tussen ethylacetoacetaat (1 in onderstaand reactieschema; Et = ethylgroep), benzaldehyde (2) en ureum (3). Bij deze cyclisatiereactie worden twee moleculen water gevormd:

De Biginelli-reactie is van belang voor de farmaceutische nijverheid. Dihydropyrimidinonen zijn bouwstenen voor een aantal geneesmiddelen, in het bijzonder calciumantagonisten en bloeddrukverlagende middelen.[3][4]
Externe links
- Synthetic Pages 315 (2009)[dode link]: Sirin Gülten: "Nickel chloride catalyzed Biginelli reactions; Ethyl 4-[4-(benzyloxy)phenyl]-6-methyl-2-oxo-1,2,3,4-tetrahydropyrimidine-5-carboxylate."
- Organic Chemistry Portal: Biginelli Reaction (overzicht van verschillende recente variaties op de Biginelli synthese)
- ↑ Biginelli, P. Chemische Berichte 1891, 24, 1317 & 2962.
- ↑ Biginelli, P. Chemische Berichte 1893, 26, 447.
- ↑ Karnail S. Atwal et al. J. Med. Chem. 1991, 34 (2), 806-811. DOI:10.1021/jm00106a048
- ↑ C. Oliver Kappe, "Biologically active dihydropyrimidones of the Biginelli-type -- a literature survey." European Journal of Medicinal Chemistry 2000, 35 (12), 1043-1052. DOI:10.1016/S0223-5234(00)01189-2