Betti-reactie
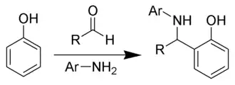
De Betti-reactie is een organische reactie waarbij een aldehyde, een primair aromatisch amine en fenol met elkaar reageren tot een α-aminobenzylfenol:[1]

De reactie is een speciaal geval van de Mannich-reactie.
Zie ook
Bronnen, noten en/of referenties
- ↑ (en) M. Betti (1929) - β-Naphthol phenylaminomethane, Organic Syntheses, 9, p. 60