Bergmann-degradatie
De Bergmann-degradatie is een organische reactie om een aminozuur aan het uiteinde van een peptide te verwijderen.[1] De reactie grijpt plaats aan het carbonzuuruiteinde van de peptideketen:

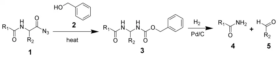
In eerste instantie wordt het carbonzuur omgezet tot een acylazide (1), dat een Curtius-omlegging ondergaat in aanwezigheid van benzylalcohol (2). Hierbij wordt een benzylcarbamaat (3) gevormd. De carboxybenzylgroep van dit intermediair wordt verwijderd middels hydrogenolyse, waardoor een ongesubstitueerd amide (4) en een aldehyde (5) ontstaat.
De reactie kan repetitief gebeuren, zodat geleidelijke afbraak van een peptideketen mogelijk wordt.
Zie ook
Bronnen, noten en/of referenties
- ↑ (en) M. Bergmann (1934), Science, 79, p. 439