Areniumion

Een areniumion is in de organische chemie het cyclohexadienylkation dat optreedt als reactief intermediair in de elektrofiele aromatische substitutie.[1] In het verleden is dit deeltje ook beschreven als een Wheland complex,[2] sigma-complex of σ-complex.
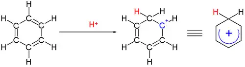
De bindingen naar de twee waterstof=atomen aan hetzelfde koolstofatoom liggen in een vlak dat loodrecht op het vlak van de koolstofatomen in de ring staat.[3] Het areniumion is niet langer een aromatisch deeltje, hoewel het relatief stabiel is door de delocalisatie van de lading - de positieve lading wordt door het π-systeem vooral verdeeld over drie koolstofatomen zoals in onderstaande figuur is te zien (het rode waterstofatoom is het extra waterstofatoom aan de benzeenring, het blauwe koolstofatoom draagt de lading als de dubbele bindingen liggen zoals ze in de betreffende ring getekend zijn):
Een ander deel van de stabiliteit van het areniumion wordt gevormd door de bindingssterkte van het elektrofiel.
Het kleinste areniumion, het benzeniumion, geprotoneerd benzeen, (C6H7+). Het benzeniumion kan geïsoleerd worden als benzeen geprotoneerd wordt door het carboraan superzuur H(CB11H(CH3)5Br6).[4] Het gevormde benzeniumzout is kristallijn en thermisch stabiel tot 150°C. De bindingslengte in het benzeniumzout, zoals deze met behulp van Röntgendiffractie gemeten kan worden is in overeenstemming met de structuur van cyclohexadienyl-cation.
Er zijn meer methoden om areniumionen te stabiliseren: complexvorming met een metaal,[5][6]
- ↑ Stable carbocations. CXVIII. General concept and structure of carbocations based on differentiation of trivalent (classical) carbenium ions from three-center bound penta- of tetracoordinated (nonclassical) carbonium ions. Role of carbocations in electrophilic reactions George A. Olah J. Am. Chem. Soc.; 1972; 94(3) pp 808 - 820; DOI:10.1021/ja00758a020
- ↑ A Quantum Mechanical Investigation of the Orientation of Substituents in Aromatic Molecules G. W. Wheland J. Am. Chem. Soc.; 1942; 64(4) pp 900 - 908; DOI:10.1021/ja01256a047
- ↑ A guidebook to mechanism in organic chemistry, Peter Sykes; pp 130-133
- ↑ Isolating Benzenium Ion Salts Christopher A. Reed, Kee-Chan Kim, Evgenii S. Stoyanov, Daniel Stasko, Fook S. Tham, Leonard J. Mueller, and Peter D. W. Boyd J. Am. Chem. Soc.; 2003; 125(7) pp 1796 - 1804; DOI:10.1021/ja027336o
- ↑ Synthesis and Reactivity of the Methylene Arenium Form of a Benzyl Cation, Stabilized by Complexation Elena Poverenov, Gregory Leitus, and David Milstein J. Am. Chem. Soc.; 2006; 128(51) pp 16450 - 16451; (Communication) DOI:10.1021/ja067298z
- ↑ In deze reactie is R-Pd(II)-Br het uitgangscomplex 1, gestabiliseerd met TMEDA. 1 wordt geoxideerd met dtpp tot metaal complex 2. Elektrofiele aanval met methyltriflaat vormt vervolgens areniumion 3 met (gebaseerd op Röntgendiffractie) de positieve lading op de para-positie, de methyleengroep ligt 6° buiten het vlak van de ring. Reactie, eerst met water, dan met trëthylamine, hydrolyseerd de ether.


