Amylose
| Amylose | ||||
|---|---|---|---|---|
| Algemeen | ||||
| Chemische formule | (C6H10O5)n | |||
| Andere namen | α-amylose | |||
| CAS-nummer | 9005-82-7 | |||
| EG-nummer | 232-685-9 | |||
| Wikidata | Q207466 | |||
| Beschrijving | witachtig poeder dat een vorm van zetmeel is | |||
| Vergelijkbaar met | amylopectine, glycogeen | |||
| Fysische eigenschappen | ||||
| Aggregatietoestand | vast | |||
| Kleur | wit tot bijna wit | |||
| Goed oplosbaar in | kaliloog, natronloog, DMSO | |||
| Slecht oplosbaar in | water | |||
| Tenzij anders vermeld zijn standaardomstandigheden gebruikt (298,15 K of 25 °C, 1 bar). | ||||
| ||||
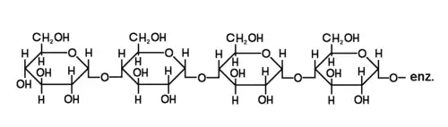
Amylose is een polysacharide, het lineair zetmeelpolymeer van glucosemoleculen die door een alfa-1,4-binding aan elkaar gekoppeld zijn. De ander component van zetmeel is het licht vertakte amylopectinepolymeer. Wanneer het heel sterk vertakt is wordt het glycogeen genoemd. Enkele honderden tot duizenden moleculen, gemiddeld varieert de lengte van het polymeer tussen 300 en 3000 glucose eenheden, vormen een regelmatige glucaanketen. Door de alfa-1,4-binding kent het molecule een draaiing, die de oorzaak is van de helixstructuur van amylose. Gemiddeld bevat zetmeel tussen 17 en 30 massaprocent amylose en 70 à 83% amylopectine. De verhouding is afhankelijk van soort zetmeel en ras. High amylose mais bijvoorbeeld bevat 55 à 85% amylose, kleefrijst 7% amylose, waxy mais en amylopectine-aardappelzetmeel 0%, erwten 35%.
Amylose neemt door zijn helix structuur in de amyloplast van de plantcel minder ruimte in dan amylopectine en speelt een rol in de opslag van energie in de plant. Door het lage aantal (één) eindstandige reducerende suikers van het lineaire amylosepolymeer breekt amylose minder snel af dan amylopectine onder invloed van amylase en geeft het dus de glucose trager af. Amylose lost tijdens koken moeizamer op dan amylopectine en is meer viscositeitinstabiel na afkoelen (retrogradatie, synerese). De binnenkant van de amylose helix is hydrofoob en kan hydrofobe moleculen binden zoals sommige vetten en aroma's,[1]
Amylose kan met behulp van een jodiumoplossing aangetoond worden, doordat het jodium dan de helix blauw kleurt. Deze interactie wordt toegepast in jodometrie.
Veranderingen tijdens voedselbereiding
Amylose en amylopectine zijn gevoelig voor allerlei processen die wij in de keuken gebruiken. Het verandert de structuur door bindingen tussen de glucose moleculen te verbreken, nieuwe bindingen aan te gaan of om te zetten in een ander type binding. Het bakken, frituren of koken van aardappelen levert verschillende resultaten op, ook nog door de combinatie van aaneenvolgende handelingen: Het koken van aardappelen breekt het zetmeel gedeeltelijk af waardoor het beter verteerbaar is. Bij het laten afkoelen van deze aardappelen verandert een gedeelte van de bindingen waardoor er resistent zetmeel (voedingsvezel) ontstaat en minder verteerbaar zetmeel overblijft. Bij het opnieuw opwarmen (bakken, frituren) vinden er opnieuw chemische veranderingen in het zetmeel plaats. [2] Zowel de temperatuur als de zuurgraad zijn hierop van invloed: bij hogere temperaturen verlopen reacties meestal sneller, de zuurgraad bepaalt of er voornamelijk verbindingen verbroken (hydrolyse) of juist gevormd worden (condensatie). Ook in een "zure" huzarensalade vinden er nog steeds (langzaam) veranderingen in het zetmeel plaats!
α-amylose
α-amylose de meest voorkomende vorm van amylose, het bestaat uit glucose in de α-cycloformule. Het verschil met amylopectine is dat amylose "zetmeel" een lineaire keten is. Wanneer deze keten weinig vertakkingen heeft spreekt men van amylopectine. Bij een zeer sterk vertakte keten heet het glycogeen, de vorm waarin het menselijk lichaam (in beperkte mate) glucose kan opslaan.
De reden hiervoor is dat door zoveel mogelijk glucose moleculen in één molecuul te stoppen de osmotische waarde minder stijgt. Tevens is door de vele uiteinden snel glucose hiervan los te maken. In het menselijk lichaam reguleren de hormonen insuline en glucagon dit proces.
β-amylose
β-amylose bestaat uit glucose in de β-cycloformule.
Structuurformules


- ↑ Dit artikel of een eerdere versie ervan is een (gedeeltelijke) vertaling van het artikel Amylose op de Engelstalige Wikipedia, dat onder de licentie Creative Commons Naamsvermelding/Gelijk delen valt. Zie de bewerkingsgeschiedenis aldaar.
- ↑ https://www.lekkervanbijons.be/producten/aardappel/aardappelen-en-koolhydraten | Aardappelen en koolhydraten